Why Capacitor Has Leading Power Factor:
Before saying leading or lagging we should follow the conditions
- Both the wave should be sinusoidal
- Both signal should be same frequency
- Both signal must be written in positive amplitude
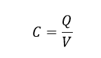
First, consider two charged parallel plates Capacitance is nothing but a ratio of Charge in a one plate to potential difference between two plates is called capacitance. Capacitance is a property measure of capacitor. C is the capacitance of the two plates, Q is charge and V is potential difference, hence Capacitance C is equal to
[wp_ad_camp_2]

Consider an electric circuit which has Vc is the voltage across the capacitor, I is the sinusoidal current flow through the capacitor and V is the applied voltage here applied voltage equal to capacitor voltage which means
Current flow through the
Now we get current and Voltage magnitude let draw the phasor diagram. Here you can see the current leads ahead the voltage by 90deg. due to the leading nature of current, we get leading power factor in capacitor.
Lets see the power flow in capacitor:
A pure capacitor loads the power stored is equal to the power return back to the source. Hence A pure capacitor does not store any power.









![Why Synchronous Motor is Not Self Starting [Simple Explanation]](https://electrical4u.net/wp-content/uploads/2020/06/Synchronous-motor-is-not-self-starting-218x150.png)



