Gate ME 2014-4 Question Paper With Solutions

Q.37
Gate ME 2014-4 Question Paper With Solutions

Answer: (B)

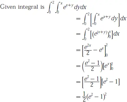
Explanation:

Gate ME 2014-4 Question Paper With Solutions

Learn More:   Gate ME-2012 Question Paper With Solutions

LEAVE A REPLY

Please enter your comment!
Please enter your name here