Gate ME-2007 Question Paper With Solutions

Q.3.Gate ME-2007 Question Paper With Solutions
Gate ME-2007 Question Paper With Solutions

Answer: (B)

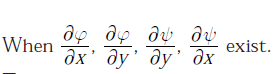
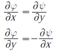
Explanation:

Gate ME-2007 Question Paper With Solutions

Gate ME-2007 Question Paper With Solutions

Gate ME-2007 Question Paper With Solutions

Learn More:   Gate ME-2016-3 Question Paper With Solutions

LEAVE A REPLY

Please enter your comment!
Please enter your name here