Gate EE-2015-2 Question Paper With Solutions

Q. 8Gate EE-2015-2 Question Paper With Solutions

Answer: (8)

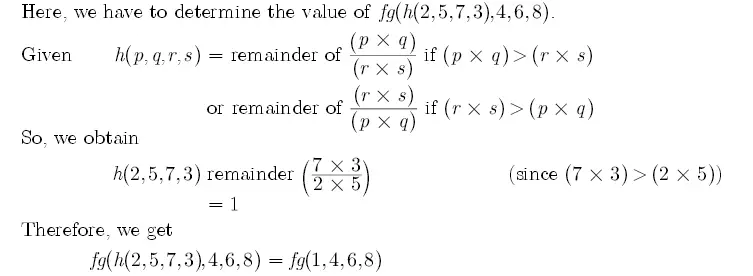
Explanation:

Gate EE-2015-2 Question Paper With Solutions Gate EE-2015-2 Question Paper With Solutions

 

 

Learn More:   Gate EE-2009 Question Paper With Solutions

LEAVE A REPLY

Please enter your comment!
Please enter your name here