Gate EE-2015-2 Question Paper With Solutions

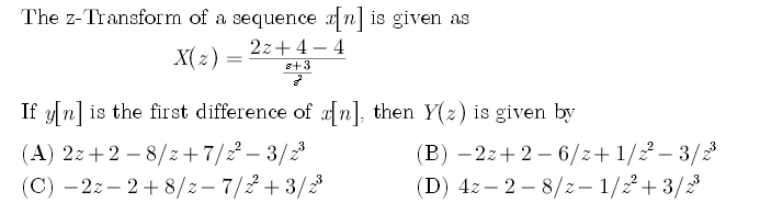
Q. 47Gate EE-2015-2 Question Paper With Solutions

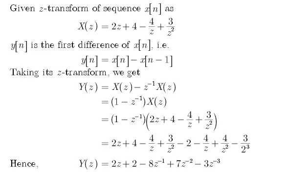
Answer: (A)

Explanation:

Gate EE-2015-2 Question Paper With Solutions

 

Learn More:   Gate ME 2014-3 Question Paper With Solutions

LEAVE A REPLY

Please enter your comment!
Please enter your name here