Gate EE-2015-2 Question Paper With Solutions

 

 

Q. 40Gate EE-2015-2 Question Paper With Solutions

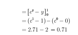
Answer: (0.71)

Explanation:

Gate EE-2015-2 Question Paper With Solutions Gate EE-2015-2 Question Paper With Solutions Gate EE-2015-2 Question Paper With Solutions

Learn More:   Gate EC-2004 Question Paper With Solutions

LEAVE A REPLY

Please enter your comment!
Please enter your name here