Gate EE-2015-2 Question Paper With Solutions

Q. 28Gate EE-2015-2 Question Paper With Solutions

Answer: (A)

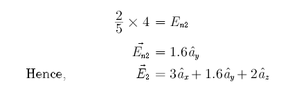
Explanation:

Gate EE-2015-2 Question Paper With Solutions Gate EE-2015-2 Question Paper With Solutions Gate EE-2015-2 Question Paper With Solutions

Learn More:   Gate CS-2014-3 Question Paper With Solutions

LEAVE A REPLY

Please enter your comment!
Please enter your name here