Gate EE-2015-2 Question Paper With Solutions

Q. 24Gate EE-2015-2 Question Paper With Solutions Answer: (A)

 

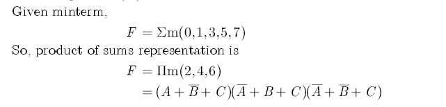
Explanation:

Gate EE-2015-2 Question Paper With Solutions

 

Learn More:   Gate EC-2008 Question Paper With Solutions

LEAVE A REPLY

Please enter your comment!
Please enter your name here