Gate EE-2015-2 Question Paper With Solutions

Q. 22Gate EE-2015-2 Question Paper With Solutions Answer: (11.95)

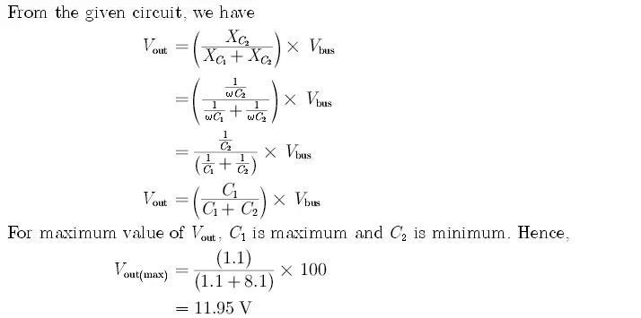
Explanation:

Gate EE-2015-2 Question Paper With Solutions

Learn More:   Gate CS-2014-1 Question Paper With Solutions

LEAVE A REPLY

Please enter your comment!
Please enter your name here