Gate EE-2015-2 Question Paper With Solutions

Q. 21Gate EE-2015-2 Question Paper With SolutionsAnswer: (B)

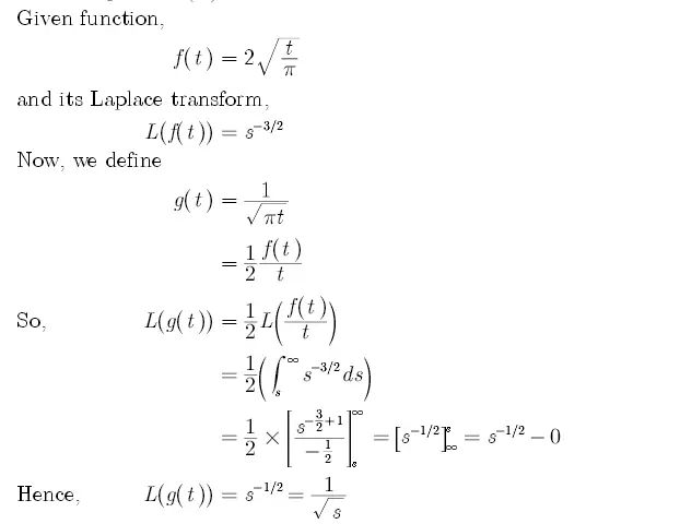
Explanation:

Gate EE-2015-2 Question Paper With Solutions

 

Learn More:   Gate EE-2014-1 Question Paper With Solutions

LEAVE A REPLY

Please enter your comment!
Please enter your name here