Gate EE-2014-3 Question Paper With Solutions

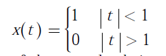
Q. 19 A signal is represented by

Gate EE-2014-3 Question Paper With Solutions

The Fourier transform of the convolved signalGate EE-2014-3 Question Paper With Solutions

Gate EE-2014-3 Question Paper With Solutions

Answer:(A)

Explanation:

Gate EE-2014-3 Question Paper With SolutionsGate EE-2014-3 Question Paper With SolutionsGate EE-2014-3 Question Paper With Solutions

Learn More:   Gate EE-2016-1 Question Paper With Solutions

1 COMMENT

LEAVE A REPLY

Please enter your comment!
Please enter your name here