Gate EE-2014-2 Question Paper With Solutions

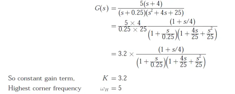
Q. 55 For the transfer function

Gate EE-2014-2 Question Paper With Solutions

The values of the constant gain term and the highest corner frequency of the
Bode plot respectively are

(A) 3.2, 5.0

(B) 16.0, 4.0

(C) 3.2, 4.0

(D) 16.0, 5.0

Answer:(A)

Explanation:

Gate EE-2014-2 Question Paper With Solutions

Learn More:   Gate ME-2012 Question Paper With Solutions

LEAVE A REPLY

Please enter your comment!
Please enter your name here