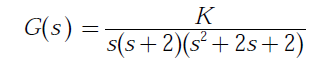
Q. 54 A system with the open loop transfer function
is connected in a negative feedback configuration with a feedback gain of unity.
For the closed loop system to be marginally stable, the value of K is ______
Answer:(5)
Explanation:

Q. 54 A system with the open loop transfer function
is connected in a negative feedback configuration with a feedback gain of unity.
For the closed loop system to be marginally stable, the value of K is ______
Answer:(5)
Explanation:
