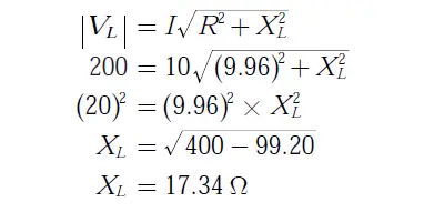
Q. 41 The total power dissipated in the circuit, shown in the figure, is 1 kW.
The voltmeter, across the load, reads 200 V. The value of is _____.
Answer:(17.34)
Explanation:


Q. 41 The total power dissipated in the circuit, shown in the figure, is 1 kW.
The voltmeter, across the load, reads 200 V. The value of is _____.
Answer:(17.34)
Explanation:

