Gate EE-2014-2 Question Paper With Solutions

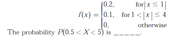
Q. 37 Let X be a random variable with probability density function

Gate EE-2014-2 Question Paper With Solutions

Answer:(0.4)

Explanation:

Gate EE-2014-2 Question Paper With Solutions

Learn More:   Gate ME-2019-1 Question Paper With Solutions

LEAVE A REPLY

Please enter your comment!
Please enter your name here