Gate EE-2014-2 Question Paper With Solutions

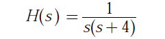
Q. 19 Consider an LTI system with transfer function

Gate EE-2014-2 Question Paper With Solutions

If the input to the system is cos(t)and the steady state output isGate EE-2014-2 Question Paper With Solutions
, then the value of A is

(A) 1/30

(B) 1/15

(C) 3/4

(D) 4/3

Answer:(B)

Explanation:

Gate EE-2014-2 Question Paper With Solutions

Learn More:   Gate CS-2015-1 Question Paper With Solutions

LEAVE A REPLY

Please enter your comment!
Please enter your name here