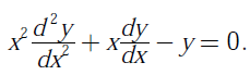
Q. 15 Consider the differential equation . Which of the following is
a solution to this differential equation for x > 0 ?
Answer:(C)
Explanation:

Q. 15 Consider the differential equation . Which of the following is
a solution to this differential equation for x > 0 ?
Answer:(C)
Explanation:
