Q. 55 The Bode magnitude plot of the transfer function
is shown below :
Note that -6 dB/octave =- 20 dB/decade. The value of
is _____.
Answer:(0.75)
Explanation:



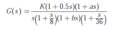
Q. 55 The Bode magnitude plot of the transfer function
is shown below :
Note that -6 dB/octave =- 20 dB/decade. The value of
is _____.
Answer:(0.75)
Explanation:


