Gate EE-2014-1 Question Paper With Solutions

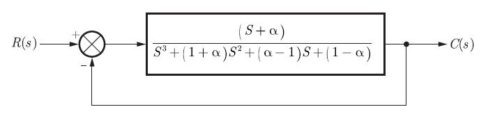
Q. 54 For the given system, it is desired that the system be stable. The minimum value
of a for this condition is ______.

Gate EE-2014-1 Question Paper With Solutions

Answer:(0.618)

Explanation:

Gate EE-2014-1 Question Paper With SolutionsGate EE-2014-1 Question Paper With SolutionsGate EE-2014-1 Question Paper With SolutionsGate EE-2014-1 Question Paper With Solutions

Learn More:   Gate EC-2015 - 1 Question Paper With Solutions

LEAVE A REPLY

Please enter your comment!
Please enter your name here