Q. 42 The following four vector fields are given in Cartesian co-ordinate system. The
vector field which does not satisfy the property of magnetic flux density is
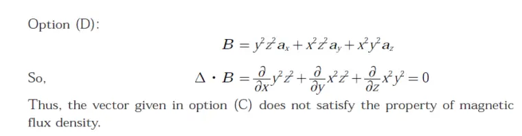
Answer:(C)
Explanation:

Q. 42 The following four vector fields are given in Cartesian co-ordinate system. The
vector field which does not satisfy the property of magnetic flux density is
Answer:(C)
Explanation:
