Gate EE-2014-1 Question Paper With Solutions

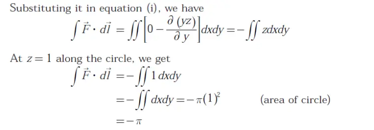
Q. 38 The line integral of function F = yzi , in the counterclockwise direction, along the
circleGate EE-2014-1 Question Paper With Solutions  at z = 1 is

Gate EE-2014-1 Question Paper With Solutions

Answer:(B)

Explanation:

Gate EE-2014-1 Question Paper With SolutionsGate EE-2014-1 Question Paper With Solutions

Learn More:   Gate ME-2003 Question Paper With Solutions

LEAVE A REPLY

Please enter your comment!
Please enter your name here