Gate EE-2014-1 Question Paper With Solutions

Q. 14 Let Gate EE-2014-1 Question Paper With Solutions

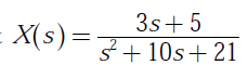
be the Laplace Transform of a signal x(t ). Then,Gate EE-2014-1 Question Paper With Solutions
is

(A) 0

(B) 3

(C) 5

(D) 21

Answer:(B)

Explanation:

Gate EE-2014-1 Question Paper With SolutionsGate EE-2014-1 Question Paper With Solutions

Learn More:   Gate CS-2014-2 Question Paper With Solutions

LEAVE A REPLY

Please enter your comment!
Please enter your name here