Gate EE-2014-1 Question Paper With Solutions

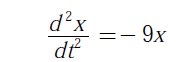
Q. 13 The solution for the differential equation

Gate EE-2014-1 Question Paper With Solutions

with initial conditionsGate EE-2014-1 Question Paper With Solutions

Gate EE-2014-1 Question Paper With Solutions

Answer:(C)

Explanation:

Gate EE-2014-1 Question Paper With SolutionsGate EE-2014-1 Question Paper With Solutions

Learn More:   Gate EE-2019 Question Paper With Solutions

LEAVE A REPLY

Please enter your comment!
Please enter your name here