Gate EE-2006 Question Paper With Solutions

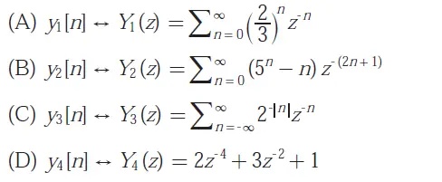
Q. 23 The discrete-time signal,Gate EE-2006 Question Paper With Solutions where denotes a transform-pair relationship, is orthogonal to the signal

Gate EE-2006 Question Paper With Solutions

Answer:(*)

Explanation:

Not Required.

Learn More:   Gate CS-2006 Question Paper With Solutions

LEAVE A REPLY

Please enter your comment!
Please enter your name here