Gate EC-2017-1 Question Paper With Solutions

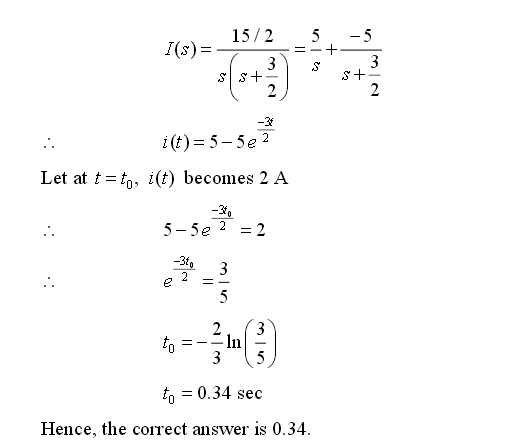
Q. 51Gate EC-2017-1 Question Paper With Solutions Answer: (0.34)

Explanation:

Gate EC-2017-1 Question Paper With Solutions

Gate EC-2017-1 Question Paper With Solutions

Learn More:   Gate ME-2008 Question Paper With Solutions

LEAVE A REPLY

Please enter your comment!
Please enter your name here