Gate EC-2006 Question Paper With Solutions

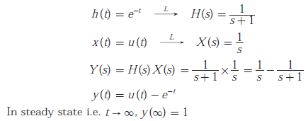
Q. 57 The unit impulse response of a system is Gate EC-2006 Question Paper With Solutions For this system the steady-state value of the output for unit step input is equal to

(A) -1

(B) 0

(C) 1

(D) Gate EC-2006 Question Paper With Solutions

Answer: (C) 

Explanation:

Gate EC-2006 Question Paper With Solutions

Learn More:   Gate ME-2007 Question Paper With Solutions

LEAVE A REPLY

Please enter your comment!
Please enter your name here