Gate EC-2006 Question Paper With Solutions

Q. 54 The unit step response of a system starting from rest is given by Gate EC-2006 Question Paper With Solutions for Gate EC-2006 Question Paper With Solutions. The transfer function of the system is

Gate EC-2006 Question Paper With Solutions

Answer: (B) 

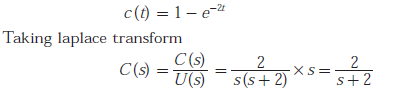
Explanation:
Gate EC-2006 Question Paper With Solutions

Learn More:   Gate EE-2016-1 Question Paper With Solutions

LEAVE A REPLY

Please enter your comment!
Please enter your name here