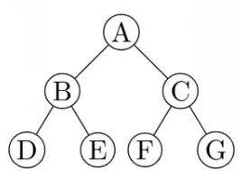
Q. 4 The inorder and preorder traversal of a binary tree are d b e a f c g and a b d e c f g,
respectively. The postorder traversal of the binary tree is:
(A) d e b f g c a
(B) e d b g f c a
(C) e d b f g c a
(D) d e f g b c a
Answer: (A)
Explanation:













