Gate CS-2007 Question Paper With Solutions

Q. 14 Gate CS-2007 Question Paper With Solutions

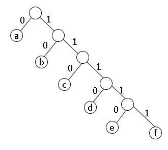
(A) 0, 10, 110, 1110, 11110, 11111

(B) 11, 10, 011, 010, 001, 000

(C) 11, 10, 01, 001, 0001, 0000

(D) 110, 100, 010, 000, 111

Answer: (A)

Explanation:

Gate CS-2007 Question Paper With Solutions

Gate CS-2007 Question Paper With Solutions

Gate CS-2007 Question Paper With Solutions

Learn More:   Gate ME-2003 Question Paper With Solutions

LEAVE A REPLY

Please enter your comment!
Please enter your name here