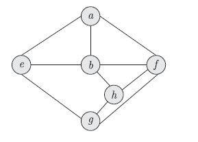
Q. 2 Consider the following graph
Among the following sequences
1. abeghf 2. abfehg 3. abfhge 4. agfhbe
Which are depth first traversals of the above graph?
(A) 1, 2 and 4 only
(B) 1 and 4 only
(C) 2, 3 and 4 only
(D) 1, 3 and 4 only
Answer: (D)
Explanation:













