Current source:
In an electrical network, current source and voltage source are the basic concepts behind many electrical applications. Let see what is current source…
Ideal current source:
A current source which supplies the constant current to connected across the load circuit regardless of the voltage developed across its terminals. The loads may be resistive load or inductive load or capacitive load etc. The current source’s internal resistance should be infinity. But in practice, we cannot construct ideal current source.
Independent current source:
Supplies constant current to the circuit regardless of the load and the direction of the voltage appearing across its terminal.
[wp_ad_camp_1]
Symbolic representation:
Series connected Independent current source:
To get output…
- All the current source should be in the same rating
- Polarity should be taken care of. The wrong polarity leads to reduced output.
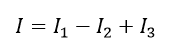
Parallel connected Independent current source:
The parallel connected current sources is equivalent to the algebraic sum of single current sources.
Note: Voltage sources cannot be connected unless the voltage source’s terminal voltage are equal.
Dependent current sources:
In this, the current source is depending upon a circuit’s existing current or voltage sources (the source will be placed in the same circuit, some other location)
- Voltage controlled Current source.
- Current controlled current source.
Voltage controlled Current source.
The source delivers the current (flow of electron) as per the voltage of the dependent element in the same network
Example:

[wp_ad_camp_1]
Current Controlled current source.
The source delivers current as per the current of the dependent element in the circuit.
Example:

















![What is Arc Chute? Types, Working Principle [Video Included] arc chute working priciple](https://electrical4u.net/wp-content/uploads/2020/06/arc-chute-218x150.png)